Ответы
Ответ дал:
0
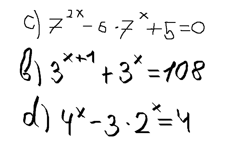
с) делаем замену 7^х = z
получаем уравнение:
z^2-6z+5=0
по теореме Виета получаем корни
Z1=1, Z2=5
возвращаем значение z:
1) 7^x=1,
x=0
2) 7^x=5,
7^x=7^log по основанию 7 от 5
х=log по основанию 7 от 5
b) выносим 3^х, получаем
3^х (3+1)=108
3^х × 4 = 108
3^х = 27
х = 3
d) 4 переносим в левую сторону и делаем замену: 2^х=t, получаем уравнение:
t^2-3t-4=0
по теореме Виета корни:
t1=-1, t2=4
возвращаем значение:
1)2^х=-1
х=пустое множество (решений нет)
2)2^х=4
х=2
получаем уравнение:
z^2-6z+5=0
по теореме Виета получаем корни
Z1=1, Z2=5
возвращаем значение z:
1) 7^x=1,
x=0
2) 7^x=5,
7^x=7^log по основанию 7 от 5
х=log по основанию 7 от 5
b) выносим 3^х, получаем
3^х (3+1)=108
3^х × 4 = 108
3^х = 27
х = 3
d) 4 переносим в левую сторону и делаем замену: 2^х=t, получаем уравнение:
t^2-3t-4=0
по теореме Виета корни:
t1=-1, t2=4
возвращаем значение:
1)2^х=-1
х=пустое множество (решений нет)
2)2^х=4
х=2
Вас заинтересует
2 года назад
2 года назад
2 года назад
7 лет назад
7 лет назад
9 лет назад