Решите уравнение плиз сверху еще дам 20 балов
Приложения:

dobryajalizka:
а что это за число перед х^2? 4, что ли?
Ответы
Ответ дал:
1
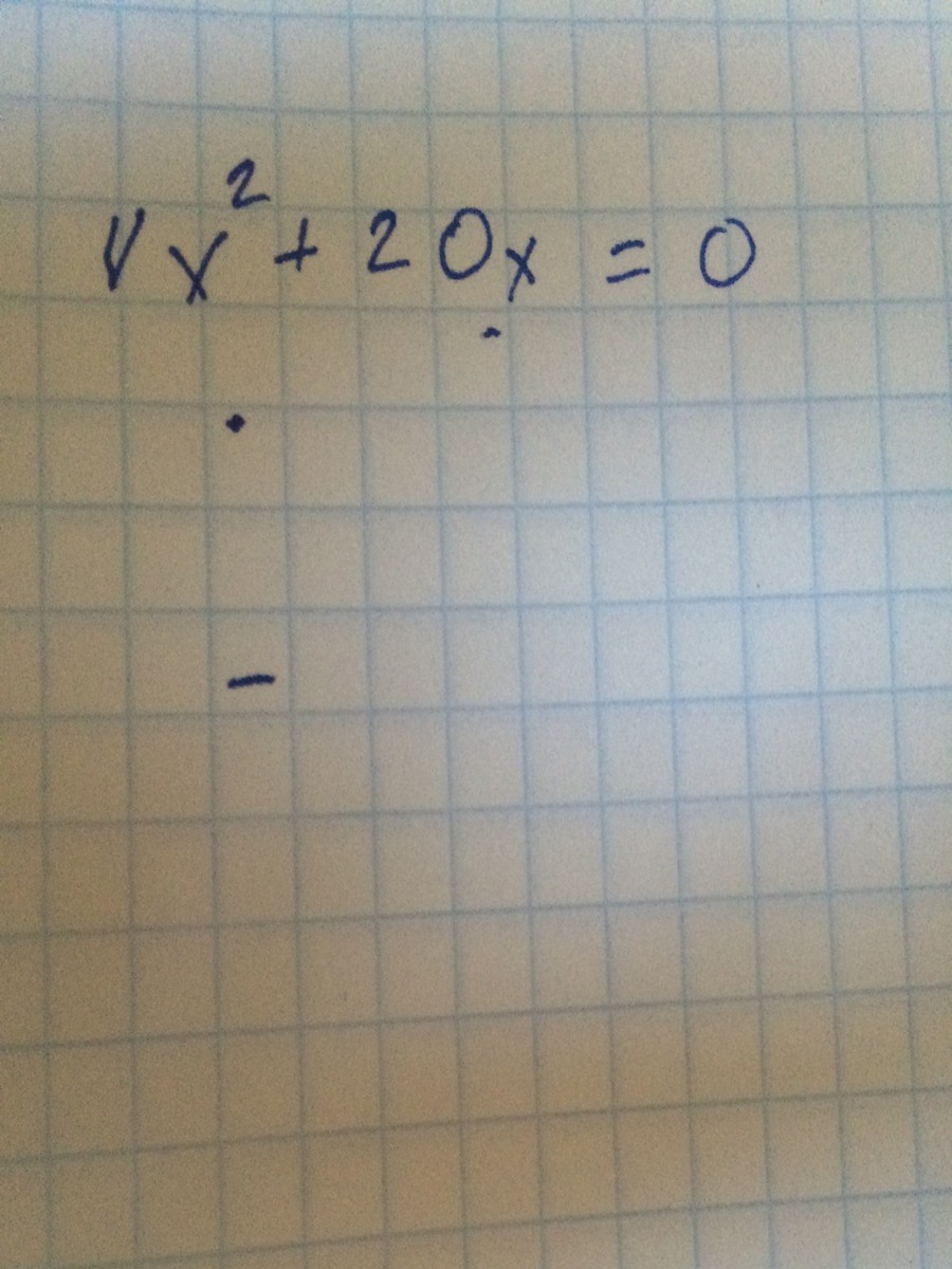
4x(x+5)=0
4x=0 или x+5=0
x1=0 x=-5
4x=0 или x+5=0
x1=0 x=-5
Ответ дал:
1
4х²+20х=0
4х(х-5)=0 х-5=0
х1=0 х2=5
4х(х-5)=0 х-5=0
х1=0 х2=5
Вас заинтересует
2 года назад
2 года назад
2 года назад
7 лет назад
9 лет назад