Ответы
Ответ дал:
1
........................................
Приложения:

Andr1806:
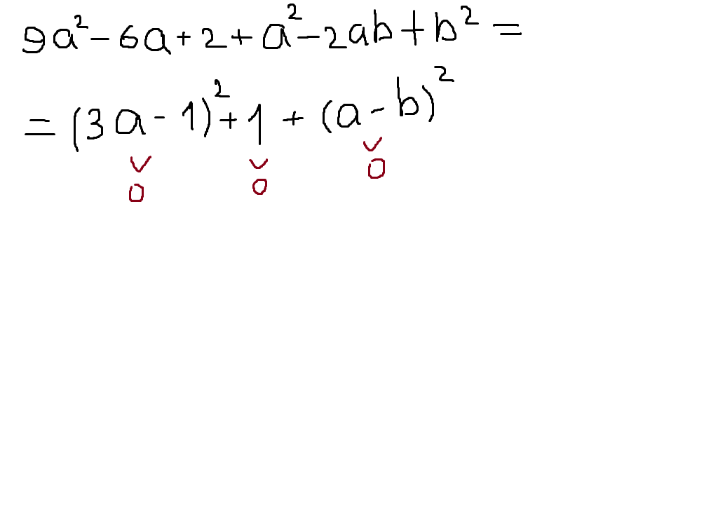
Для Antonof911: решающий написал Вам решение, начав его с момента, когда 10а² разложены на 9а² + а². далее 2 также представлена в виде суммы 1+1. Так что доказательство верное.
Вас заинтересует
2 года назад
2 года назад
2 года назад
7 лет назад
7 лет назад
9 лет назад
9 лет назад