• Предмет: Алгебра
  • Автор: aigylik0129
  • Вопрос задан 2 года назад

ПОМОГИТЕ ОЧЕНЬ НУЖНО!!!СРОЧНО!

Приложения:

Ответы

Ответ дал: elina1sky
1
Надеюсь, что правильно, если неправильно, исправьте меня))
Приложения:

математик2011: Неправильно, нельзя вычитать показатели: ведь там вычитание. А так можно делать если умножение или деление!!!
elina1sky: Вот я знала ,что что-то делаю не так ))
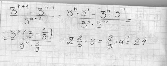
Ответ дал: математик2011
1
!!!!!!!!!!!!!!!!!!!!!!!!!!!!
Приложения:
Вас заинтересует