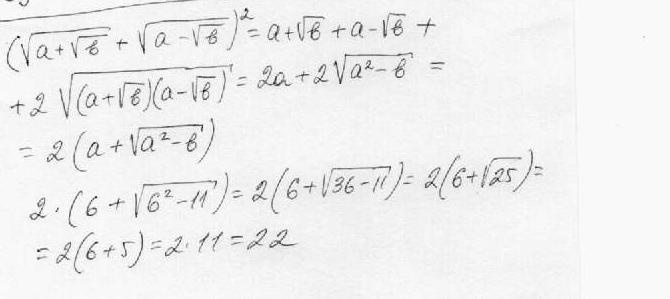
помогите с решением №5 прошууу
Приложения:

alinkacokolova:
если кто то решит поставьте + в коментах, что б я хотя б не теряла надежды
Ответы
Ответ дал:
1
........................................
Приложения:

Ответ дал:
1
!!!!!!!!!!!!!!!!!!!!!!!!!
Приложения:

Вас заинтересует
2 года назад
2 года назад
2 года назад
2 года назад
7 лет назад
7 лет назад
8 лет назад