• Предмет: Химия
  • Автор: gamerinterneto
  • Вопрос задан 2 года назад

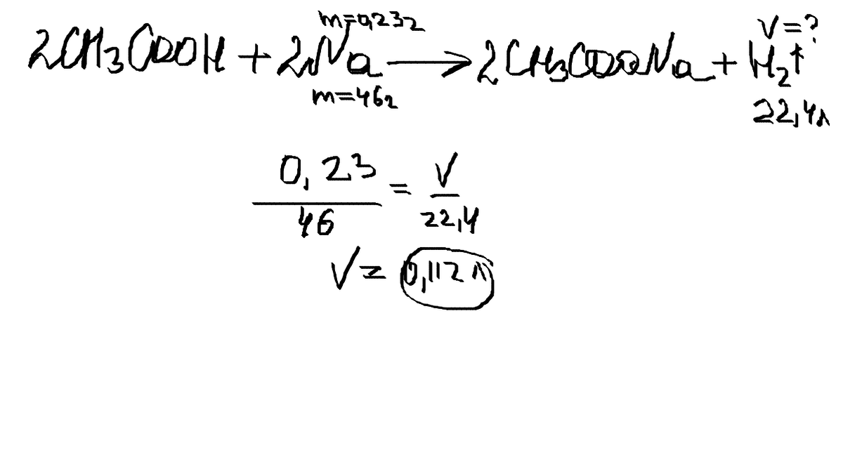
какой объем водорода выделится если в реакцию с уксусной кислотой вступит 0.23 г натрия

Ответы

Ответ дал: martiemiliya
1
решение во вложении на фото.
Приложения:

gamerinterneto: Спасибо большое.)
Вас заинтересует