• Предмет: Алгебра
  • Автор: Аноним
  • Вопрос задан 3 года назад

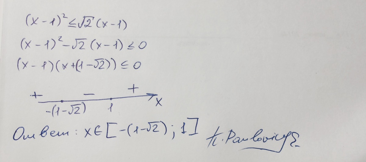
Решите неравенство
(x-1) ^ {2}  \leq  \sqrt{2}(x-1)

Ответы

Ответ дал: Pavlovich
0
Решение и ответ во вложениях.
Удачи!
Приложения:
Вас заинтересует