• Предмет: Математика
  • Автор: Rитка
  • Вопрос задан 3 года назад

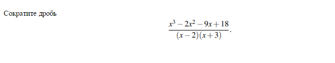
Помогите сократить дробь

Приложения:

Ответы

Ответ дал: mukus13
1
 \frac{ x^{2} (x-2)-9(x-2)}{(x-2)(x+3)} = \frac{(x-2)( x^{2} -9)}{(x-2)(x+3)} = \frac{(x+3)(x-3)}{(x+3)} =(x-3)
Вас заинтересует