Ответы
Ответ дал:
2
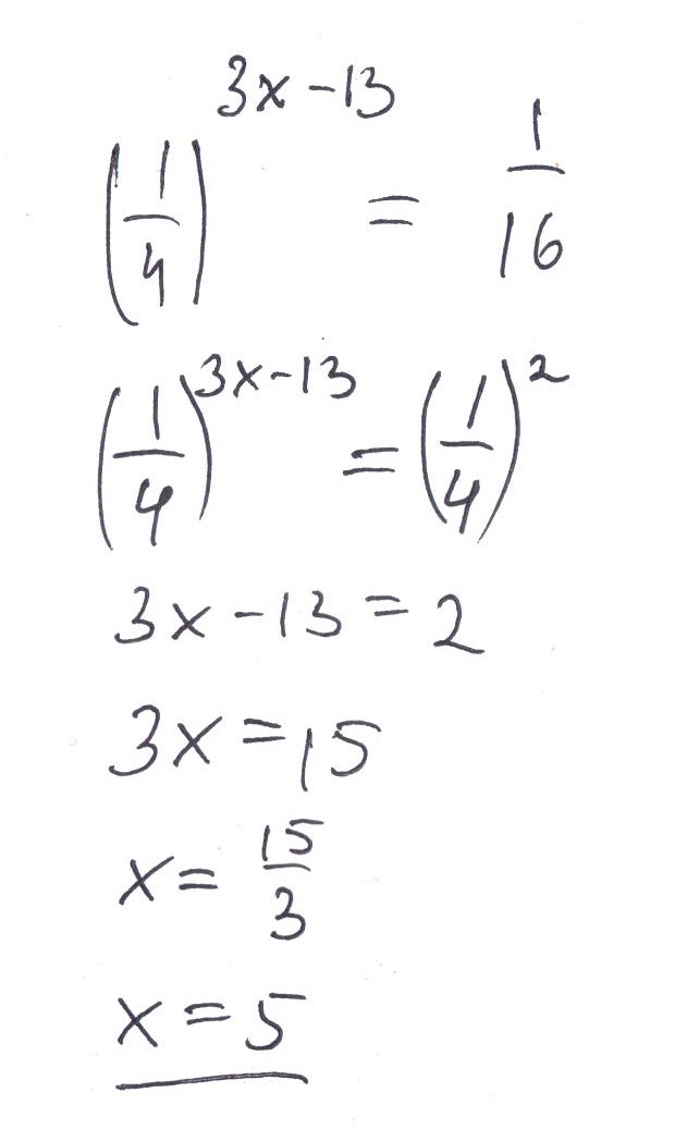
Решение на фото.
Ответ: x=5.
Ответ: x=5.
Приложения:

Вас заинтересует
2 года назад
2 года назад
2 года назад
7 лет назад
9 лет назад