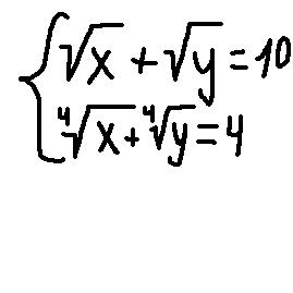
Решить систему √х+√у=10 √4степени х+√4степени у=4
Подсказка: во втором уравнении обе части возвести в квадрат
Приложения:

Ответы
Ответ дал:
0
Дальше можна подобрать
(1; 81); (81;1)
Вас заинтересует
2 года назад
2 года назад
8 лет назад
8 лет назад
10 лет назад
10 лет назад
10 лет назад