Ответы
Ответ дал:
1
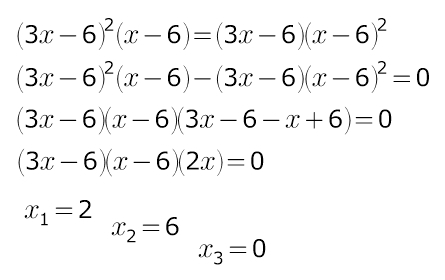
НЕЛЬЗЯ сокращать на выражение, содержащее неизвестное !!!
(можно потерять корни)))
нужно сгруппировать и вынести общий множитель...
Произведение равно нулю, когда хотя бы один из множителей равен нулю...
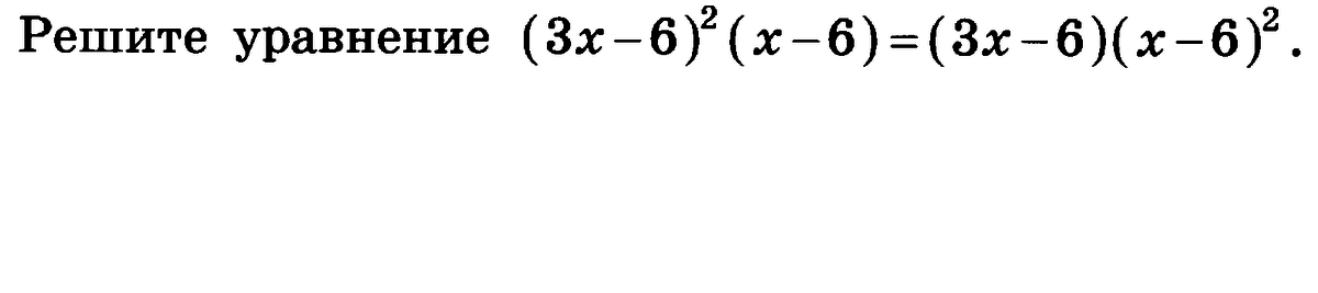
(можно потерять корни)))
нужно сгруппировать и вынести общий множитель...
Произведение равно нулю, когда хотя бы один из множителей равен нулю...
Приложения:

Вас заинтересует
2 года назад
2 года назад
2 года назад
2 года назад
7 лет назад
9 лет назад