Ответы
Ответ дал:
0
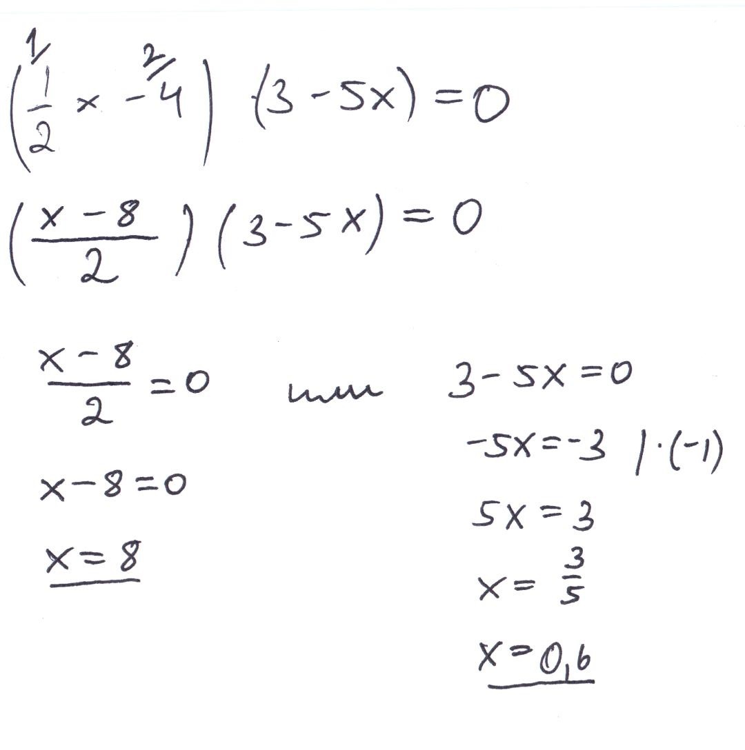
(1/2х-4)*(3-5x)=0
1/2x-4=0 или 3-5х=0
1/2х=4 -5х=-3
х=8 x=0.6
1/2x-4=0 или 3-5х=0
1/2х=4 -5х=-3
х=8 x=0.6
linochkq:
там =0
Ответ дал:
0
Решение на фото.....
Приложения:

Вас заинтересует
2 года назад
2 года назад
2 года назад
2 года назад
7 лет назад
9 лет назад