• Предмет: Алгебра
  • Автор: Аноним
  • Вопрос задан 3 года назад

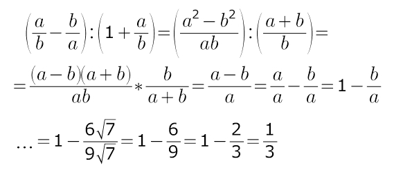
найдите значение выражения:

Приложения:

Ответы

Ответ дал: LFP
1
-------------------------------------------------
Приложения:

Аноним: спасибо )
LFP: пожалуйста...
Вас заинтересует