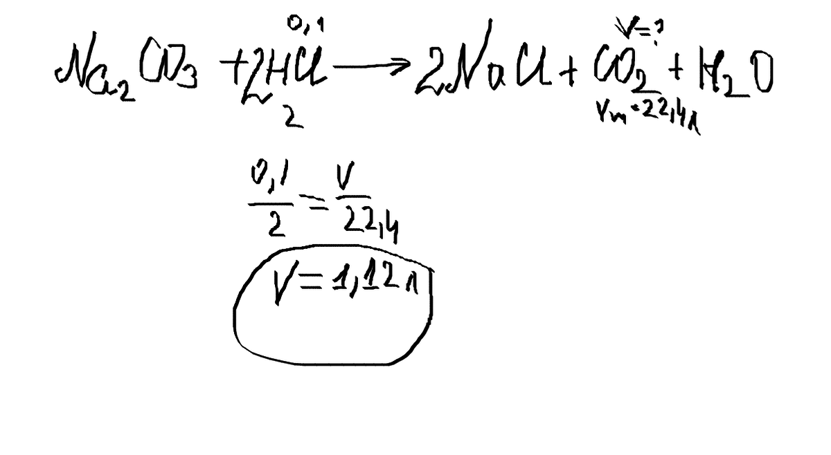
какой обьём у углекислого газа образуется при взаимодействии карбоната натрия химическим количеством 0,1 моль смоляной кислотой
Ответы
Ответ дал:
0
решение во вложении на фото :)
Приложения:

Вас заинтересует
2 года назад
2 года назад
2 года назад
7 лет назад
9 лет назад