Ответы
Ответ дал:
2
0 < 5x-2 < 10
2 < 5x < 12
2/5 < x < 12/5
0,4 < x < 2,4
2 < 5x < 12
2/5 < x < 12/5
0,4 < x < 2,4
Ответ дал:
0
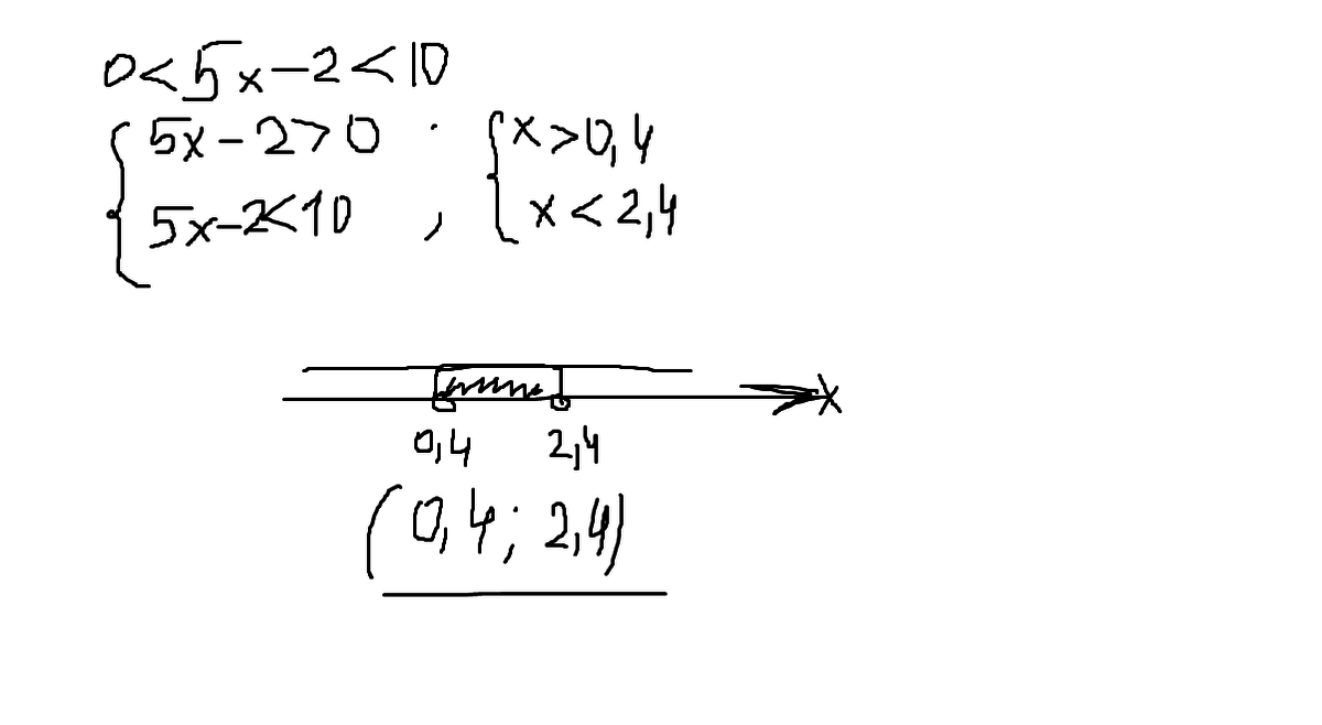
решение во вложении,.....
Приложения:

Вас заинтересует
2 года назад
2 года назад
2 года назад
7 лет назад
7 лет назад
9 лет назад