• Предмет: Алгебра
  • Автор: Granifim
  • Вопрос задан 2 года назад

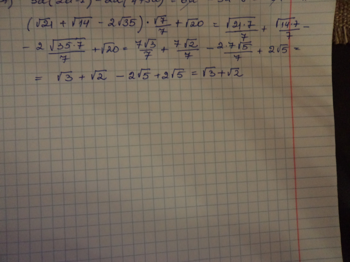
(корень из 21 + корень из 14 - 2корень из 35)*корень из 7/7 + корень из 20

Ответы

Ответ дал: Mydrый
13
решение во вложениииииииииииииииииии
Приложения:

Granifim: спасибо, я сам его сейчас успел решить)))
Mydrый: )))
Ответ дал: m11m
6
(√21 + √14 - 2√35) * √7 + √20 =
                               7
=(√7 * √3  + √7 * √2 - 2 √7 * √5) * √7 +2√5 =
                                                  7
=√7 * √3 * √7  + √7*√2*√7  -  2√7 * √5 *√7  + 2√5 =
                 7                7                     7
=√3 + √2 - 2√5 + 2√5 = 
=√3 + √2
Вас заинтересует