• Предмет: Алгебра
  • Автор: КристинаОкеанова
  • Вопрос задан 3 года назад

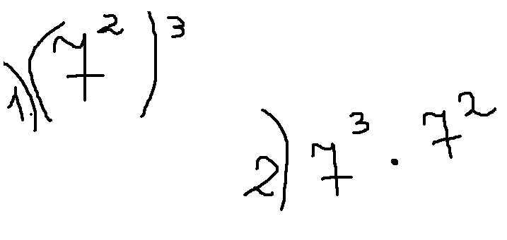
вычислите (тут типо два примера)

Приложения:

Ответы

Ответ дал: nuriev2015
0
(7²)³=7²*³=7 в 6 степени = 117649

7³*7²=7²+³=7 в 5 степени = 16807

3^4*27    3^4*3*3     3^7
______=________=____=3^7:3^12=3^-5=0.0041
9^6        (3^6)^2      3^12

nuriev2015: по алгебре
КристинаОкеанова: ууу
КристинаОкеанова: а я ваще матан не знаю
КристинаОкеанова: ваще параша
nuriev2015: вот, такая же проблема
КристинаОкеанова: брат!!!
КристинаОкеанова: а ты в каком классе
nuriev2015: 10
КристинаОкеанова: нифига себе
nuriev2015: не забудь спасибо сказать
Вас заинтересует