• Предмет: Алгебра
  • Автор: лерочка37
  • Вопрос задан 3 года назад

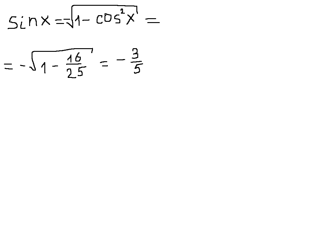
найдите sin,если cos 4/5 и 3П/2<П<2П

Ответы

Ответ дал: kostet1998
1
....................................
Приложения:
Вас заинтересует