с какой силой взаимодействовали бы две капли воды на расстоянии 1 км,если бы удалось передать одной из капель 1% всех электронов,содержащихся в другой капле,массой 0,03г?
Ответы
Ответ дал:
15
Дано:
е = 1,6⋅10-19 Кл
r = 1 км = 103 м
m = 0,03 г = 3⋅10-5 кг
η = 1%
NA = 6⋅1023 моль-1
М = 1,8⋅10-2 кг/моль
k=1/4πε0= 9 ⋅ 109Н ⋅ м2/Кл 2
Найти:
Fк - ?
Решение:
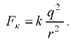
При переносе с одной электронейтральной капли на другую заряда определенного электронейтральность знака каждой из капель нарушается. В этом случае заряды капель будут одинаковы по модулю и противоположны по знаку, и они будут взаимно притягиваться.Согласно закону Кулона, при этом сила притяжения капель воды будет равна:
(фото)
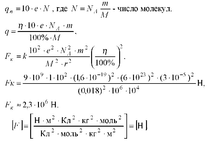
Найдем модуль зарядов q=(η/100%)qn, где qn, - общий заряд всех электронов во 100% п капель: второй капле воды. В молекуле воды (Н2О) содержится 10 электронов: 8 - кислорода, 2- водорода. Следовательно, qn =10 ⋅ e ⋅ N , где N = NAm/M - число молекул.
(фото)
Приложения:


Вас заинтересует
2 года назад
2 года назад
2 года назад
2 года назад
7 лет назад
9 лет назад