Ответы
Ответ дал:
1
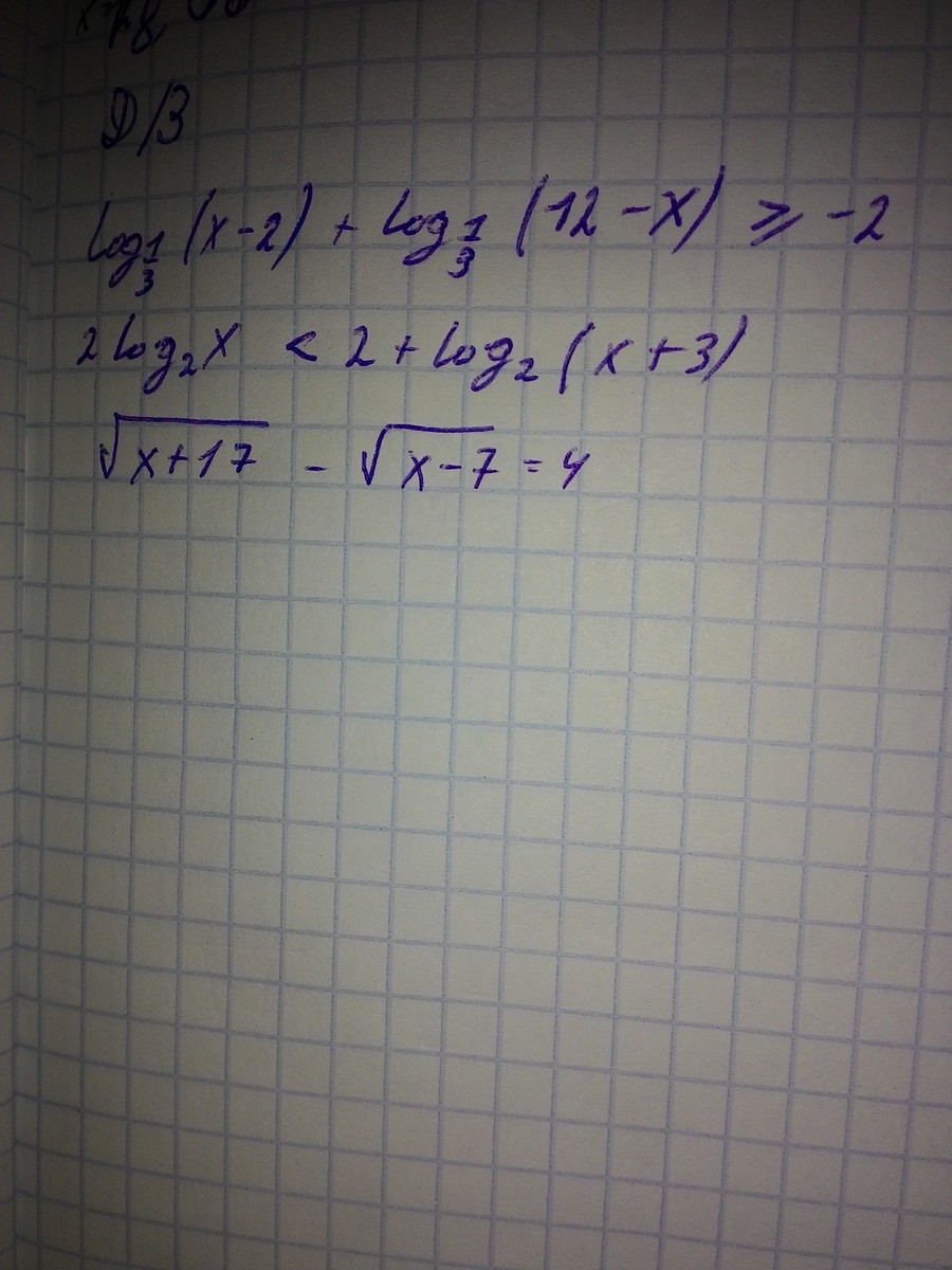
√(x+17)-√(x-7)=4 ОДЗ: х+17≥0 х≥-17 х-7≥0 х≥7 ⇒ х∈[7;+∞)
(√(x+17)-√(x-7))4²
(x+17)²-2*√((x+17)(x-7))+(x-7)²=16
(√((x+17)(x-7)))²=(x-3)²
x²+17x-7x-119=x²-6x+9
16x=128
x=8.
(√(x+17)-√(x-7))4²
(x+17)²-2*√((x+17)(x-7))+(x-7)²=16
(√((x+17)(x-7)))²=(x-3)²
x²+17x-7x-119=x²-6x+9
16x=128
x=8.
Андрей789099:
да спасибо. у меня точно так же получилось
Вас заинтересует
2 года назад
2 года назад
2 года назад
7 лет назад
7 лет назад
9 лет назад
9 лет назад