Ответы
Ответ дал:
0
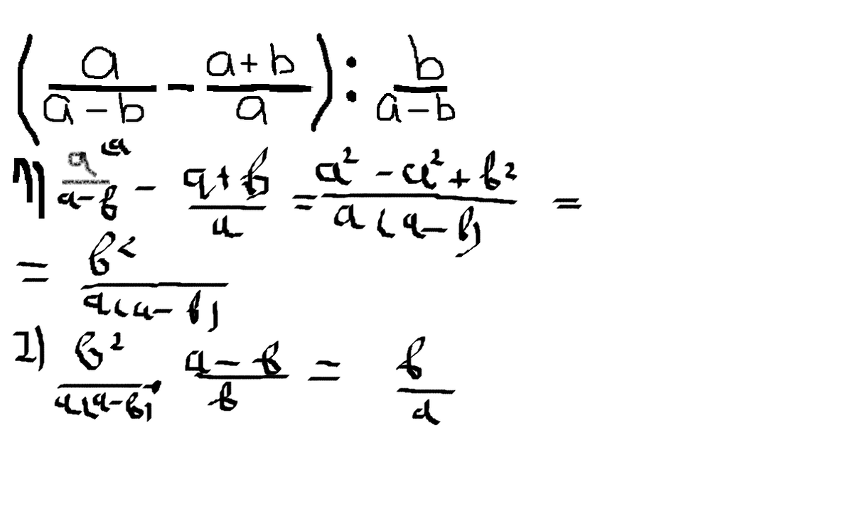
1.Во первых то что в дужках свести до общего знаменателя. У тебя должно получиться такое :
b^2/a(a-b)
2. Потом делишь на второй пример и у тебя получается :
b/a
Подставляешь числа и ответ -5
Ответ дал:
0
после упрощения получается 15/3 =5
Приложения:

Вас заинтересует
2 года назад
2 года назад
8 лет назад
8 лет назад
10 лет назад
10 лет назад
10 лет назад