Ответы
Ответ дал:
0
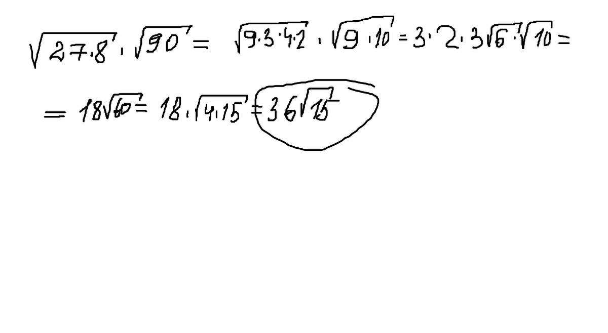
√27×√8×√90 = √27*8*90 = √9×3×2×4×10×9=3*2*3√60=18√60=18√15*4=18*2√15 = 36√15
Ответ:36√15
Ответ:36√15
Ответ дал:
0
ответ 3(36√15)
решение во вложении на фото:)
решение во вложении на фото:)
Приложения:

Вас заинтересует
2 года назад
2 года назад
2 года назад
2 года назад
7 лет назад
7 лет назад
8 лет назад
8 лет назад