• Предмет: Математика
  • Автор: matemaalgebra
  • Вопрос задан 3 года назад

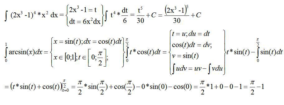
СРОЧНО НУЖНО!!!!!!!!! ИНТЕГРАЛ!!!!!!! 1) интеграл (2x^-1)^4*x^2 dx, 2)интеграл от 0 до 1 arcsin x dx

Ответы

Ответ дал: Yottax
1
как-то так!!!!!!!!!!!
Приложения:

IUV: я бы во втором сделал по-другому
сначала замену х=sin(t)
потом интерирование по частям
Yottax: зачем изобретать велосипед
matemaalgebra: там чуть неправильно перещитай!!!! вот так (2x^3-1)^4*x^2 dx
IUV: дело вкуса
IUV: int (2x^3-1)^4*x^2 dx =
=int (2x^3-1)^4*(dx^3/3) =
=int (2x^3-1)^4*d(2x^3-1)/6=
=(2x^3-1)^4 *1/30 + C
Yottax: добавил
Yottax: самое нижнее не надо, если что
Ответ дал: IUV
2
см решение во вложении
Приложения:
Вас заинтересует