помогите решить, пожалуйста, у меня ответ получается, но при проверке не сходится
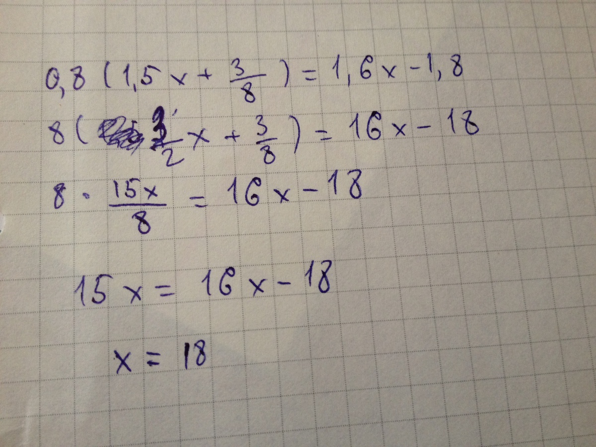
0,8(1,5х+3:8)=1,6х-1,8
Ответы
Ответ дал:
0
Возможно такой ответ
Приложения:
Ответ дал:
0
1.2x+0.3=1.6x-1.8
1.2x-1.6x= - 1.8-0.3
- 0..4x=- 2.1
x= 5.25
1.2x-1.6x= - 1.8-0.3
- 0..4x=- 2.1
x= 5.25
Sapegin49:
у меня ответ получился такой же, Только я по другому считала и поэтому при проверке не получилось. Спасибо!
Вас заинтересует
2 года назад
2 года назад
2 года назад
2 года назад
9 лет назад