-x^3+3x -2
Как решается? Не могу понять
Kulakca:
Единственный шанс для нас - это подобрать корень
Ответы
Ответ дал:
0
Домножим для начала уравнение на -1:
x^3 - 3x + 2 = 0
Теперь надо подобрать корень. Основное правило таково, что если такое уравнение имеет целые корни, то все они - делители свободного члена, то есть, делители 2. А какие мы знаем делители 2? +-1, +-2. Других нет. Так что, проверим, какой из этих делителей является корнем уравнения, простой подстановкой.
x = 1, тогда 1 - 3 + 2 = -2 + 2 = 0 - ура, подходит корень. Поэтому одним из целых корней является 1.
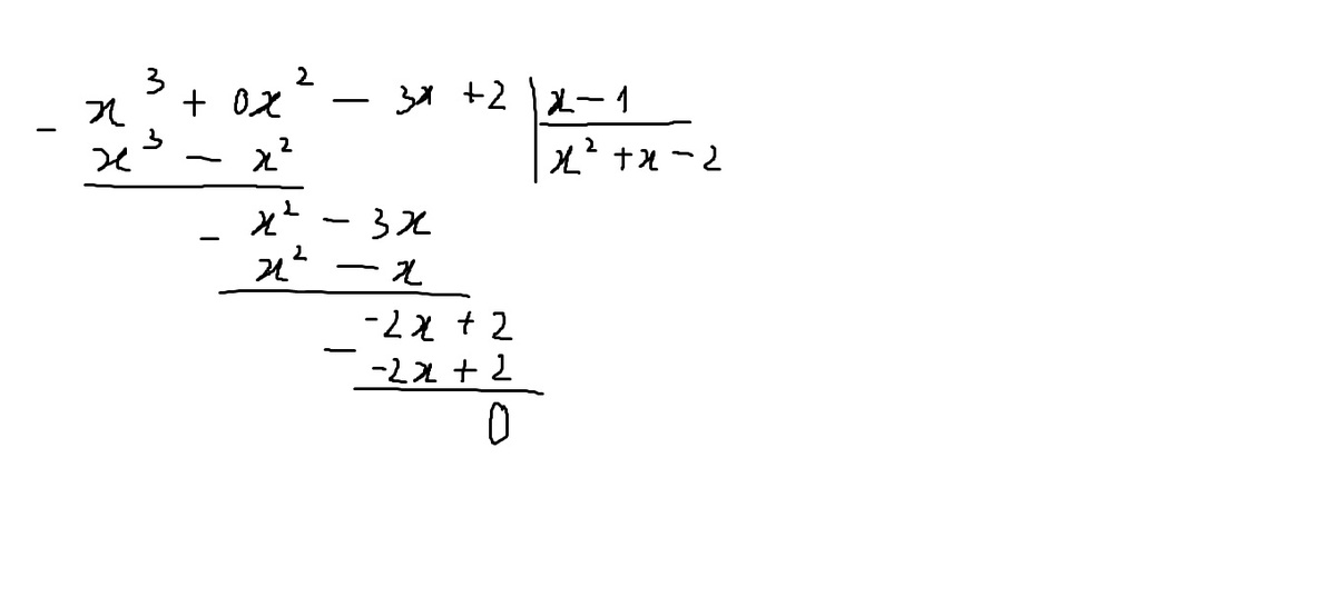
Найдём теперь остальные. Для этого разделим левую часть уравнения столбиком на x-1. Как делить многочлены столбиком, на этом я не останавливаюсь. Сейчас выложу схему деления.
Таким образом, наше уравнение имеет вид:
(x-1)(x^2 + x - 2) = 0
Отсюда находим остальные корни, решая простейшее квадратное уравнение:
x^2 + x - 2 = 0
D = 1 + 8 = 9
x1 = (-1 - 3)/2 = -4/2 = -2
x2 = (-1+3)/2 = 1
Таким образом, наше исходное уравнение имеет два корня: 1 и -2
P.S.: если деление многочлена на многочлен уголком для Вас тяжело выполнить или же метод вообще не изучался, то можно воспользоваться схемой Горнера для нахождения коэффициентов квадратного уравнения. Выбирайте тот способ, которым Вы привыкли решать.
x^3 - 3x + 2 = 0
Теперь надо подобрать корень. Основное правило таково, что если такое уравнение имеет целые корни, то все они - делители свободного члена, то есть, делители 2. А какие мы знаем делители 2? +-1, +-2. Других нет. Так что, проверим, какой из этих делителей является корнем уравнения, простой подстановкой.
x = 1, тогда 1 - 3 + 2 = -2 + 2 = 0 - ура, подходит корень. Поэтому одним из целых корней является 1.
Найдём теперь остальные. Для этого разделим левую часть уравнения столбиком на x-1. Как делить многочлены столбиком, на этом я не останавливаюсь. Сейчас выложу схему деления.
Таким образом, наше уравнение имеет вид:
(x-1)(x^2 + x - 2) = 0
Отсюда находим остальные корни, решая простейшее квадратное уравнение:
x^2 + x - 2 = 0
D = 1 + 8 = 9
x1 = (-1 - 3)/2 = -4/2 = -2
x2 = (-1+3)/2 = 1
Таким образом, наше исходное уравнение имеет два корня: 1 и -2
P.S.: если деление многочлена на многочлен уголком для Вас тяжело выполнить или же метод вообще не изучался, то можно воспользоваться схемой Горнера для нахождения коэффициентов квадратного уравнения. Выбирайте тот способ, которым Вы привыкли решать.
Приложения:

Ответ дал:
0
Я так понимаю надо разложить на множители!!! -х³+3х-2=-х³+3х-2+1-1=(3х-3)+(1-х³)=3(х-1)+(1-х)(1+х+х²)=(х-1)(3-1-х-х²)=(х-1)(-х²-х+2).Разложим многочлен -х²-х+2 на множители: х²+х-2=0; Д=1+8=9; х₁=1; х₂=-2,тогда (х-1)(-х²-х+2)=(1-х)(х²+х-2)=(1-х)(х-1)(х+2)
Вас заинтересует
2 года назад
2 года назад
2 года назад
7 лет назад
7 лет назад
8 лет назад