Ответы
Ответ дал:
1
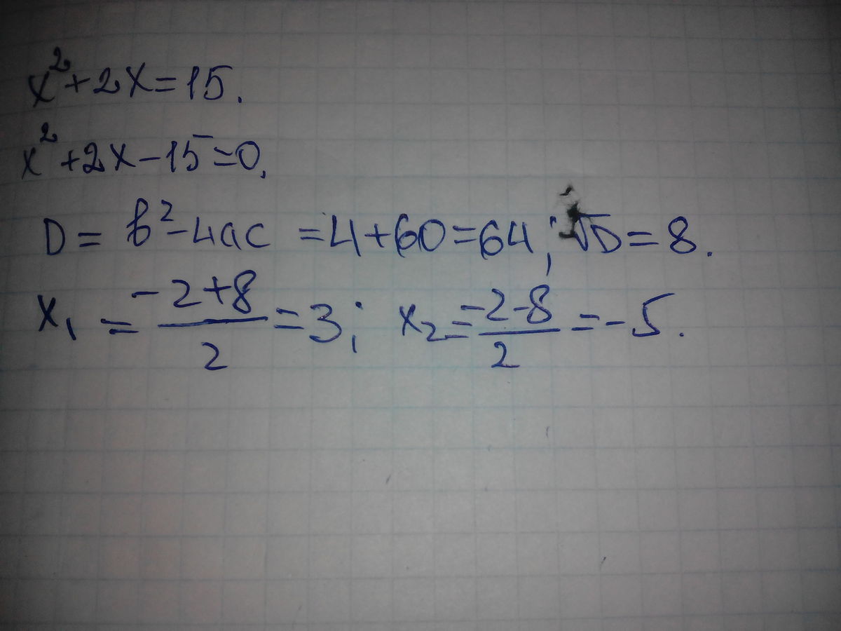
x^2 +2x - 15= 0
D=2^2-4*(-15)= 4+60=64
x1 = -2 -8/2=-5
x2 = -2+8/2=3
ответ: -5 ; 3
D=2^2-4*(-15)= 4+60=64
x1 = -2 -8/2=-5
x2 = -2+8/2=3
ответ: -5 ; 3
Innochkakozlitina:
Спасибо
Ответ дал:
1
решение на фото………………..
Приложения:

Вас заинтересует
2 года назад
2 года назад
2 года назад
7 лет назад
7 лет назад
8 лет назад
8 лет назад