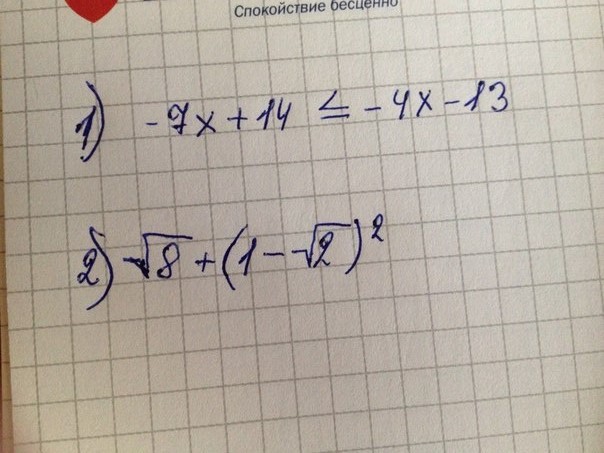
1. Решите неравенство и найдите его наименьшее целочисленное решение.
2. Упростите выражение.
Помогите ребят!
Приложения:
Ответы
Ответ дал:
0
1)-7х+14≤-4х-13
-7х-4х≤-13-14
-11х≤-27/:(-11)
х≥2 5/11
Ответ:х≥2 целых 5/11
2)√8+(1-√2)²=√8+1-2*√2+2=√8+3-√4*2=3
Вас заинтересует
2 года назад
2 года назад
2 года назад
2 года назад
7 лет назад
7 лет назад
9 лет назад
9 лет назад