Ответы
Ответ дал:
1
решение на фото……………….
Приложения:

Ответ дал:
1
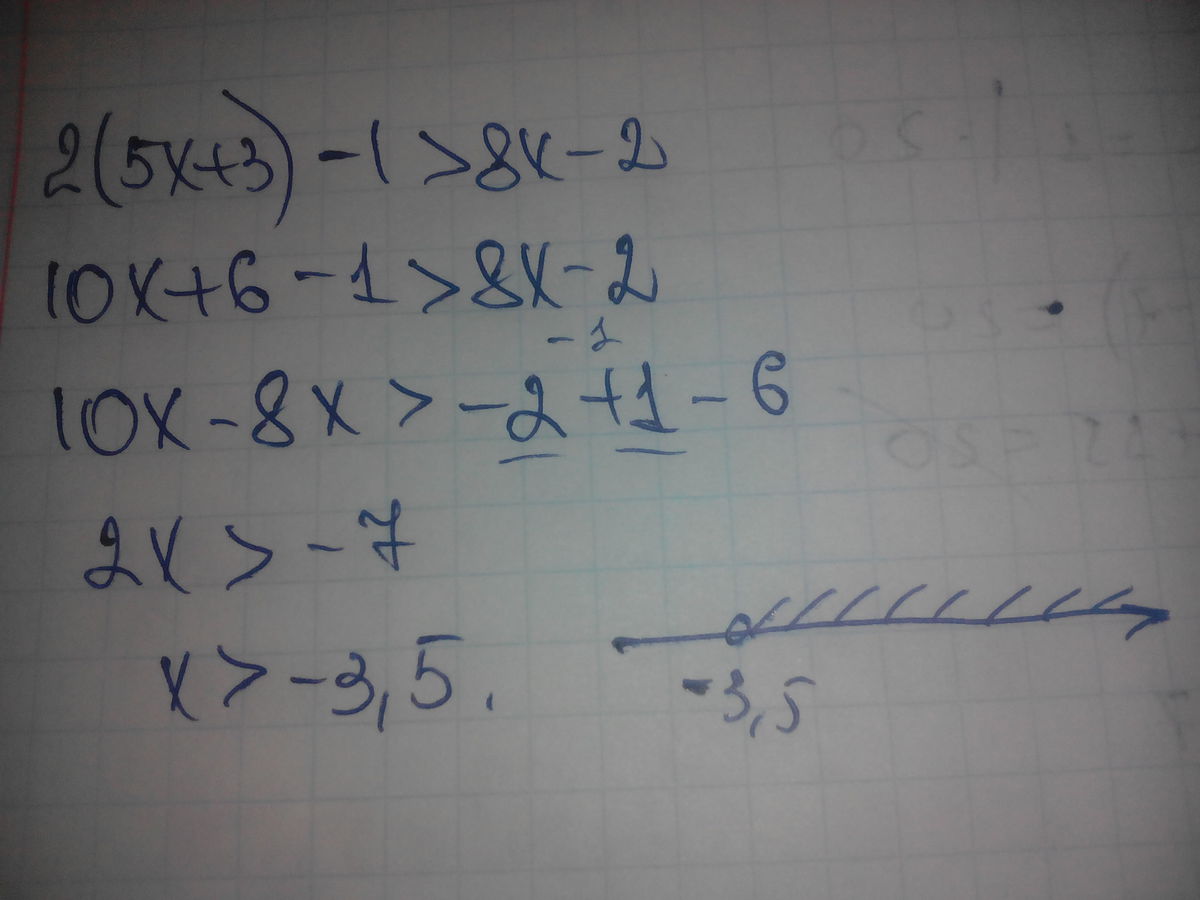
2(5x+3)-1 > 8x-2
10x+6-1 >8x-2
10x-8x>-2-5
2x>-7
x>-3.5
\\\\\\\\\\\\\\\\\\\\\\
-------------- -3.5------------------
x∈(-3.5; +∞)
10x+6-1 >8x-2
10x-8x>-2-5
2x>-7
x>-3.5
\\\\\\\\\\\\\\\\\\\\\\
-------------- -3.5------------------
x∈(-3.5; +∞)
Вас заинтересует
2 года назад
2 года назад
2 года назад
2 года назад
7 лет назад
9 лет назад
9 лет назад