• Предмет: Алгебра
  • Автор: Аноним
  • Вопрос задан 2 года назад

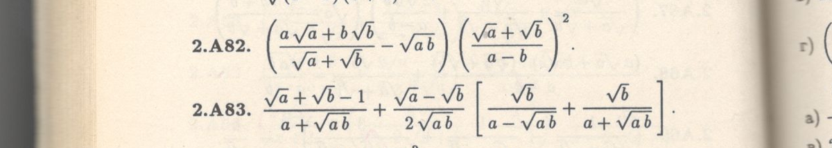
Петрушко Прохоренко Сафонов Сборник задач для поступающих в вузы
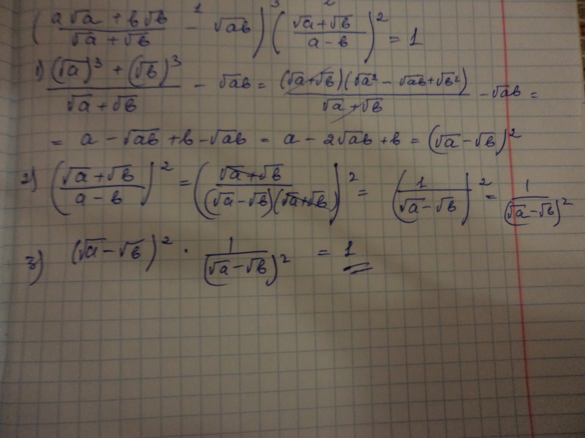
2.А82(Ответ=1) и 2.А83(1/√a)

Приложения:

Ответы

Ответ дал: Mydrый
1
решение во вложенииииииииииииииииииииииии
Приложения:

Аноним: Сразу вам лучшее решение
Вас заинтересует