Ответы
Ответ дал:
1
Могу допустить ошибки из-за невнимательности ) Лучше перепроверить. Здесь только 1.
Приложения:
Alexis09:
Не думал что здесь мне кто то поможет, первое правильно. Спасибо большое
Сможете ли вы решить все? тут такая проблема, эти задания были у меня на экзамене, и я не уверен что все сделал правильно, если я получу плохую оценку, хочу пересдать. Можете ли вы решить все эти задания?
3 задачу еще добавил
Правда я забыл у записать, но там подставить можно
Ответ дал:
0
1. a) x∈(-1,5;8/3) б) х∈(-∞;-7)∨(4;+∞)
2. а) -14 б) 7
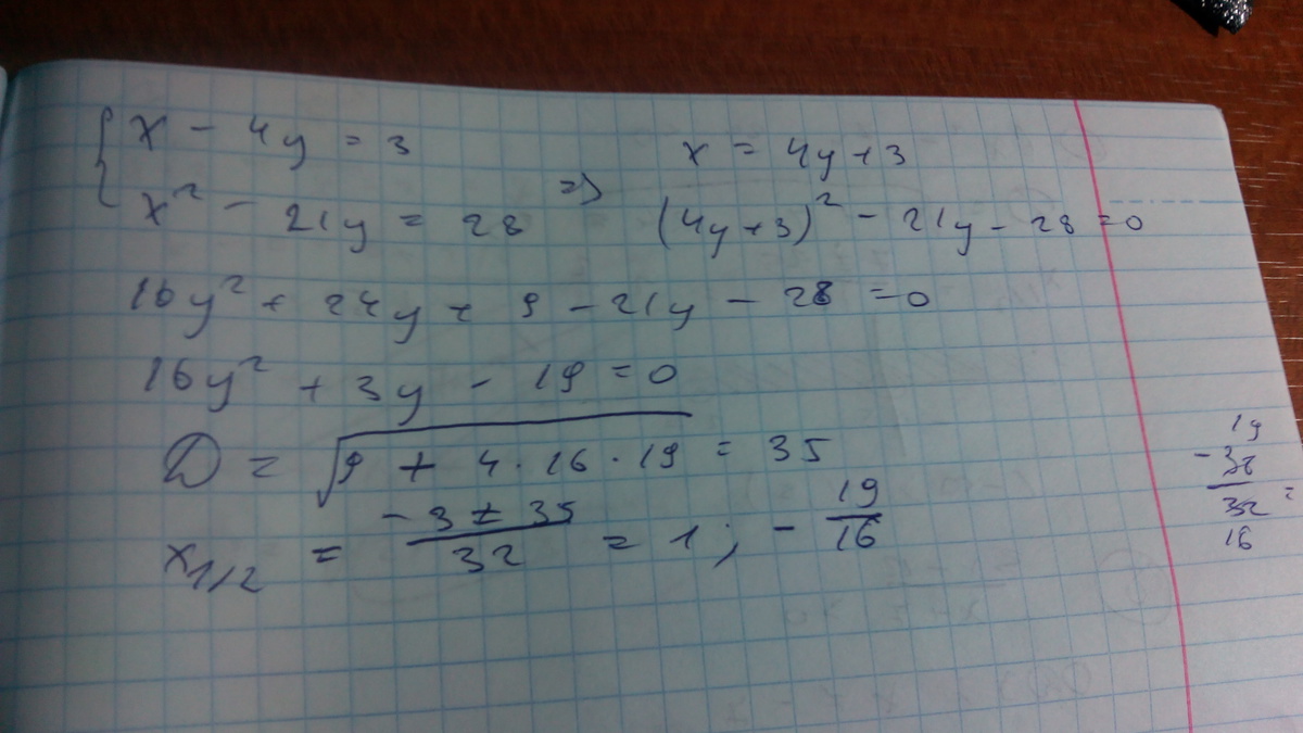
3. х₁=7 х₂=-1,75
у₁=1 у₂=19/16
4. 48 деталей в день изготавливала первая бригада, 40 деталей - вторая.
2. а) -14 б) 7
3. х₁=7 х₂=-1,75
у₁=1 у₂=19/16
4. 48 деталей в день изготавливала первая бригада, 40 деталей - вторая.
Решения нужны
Вас заинтересует
2 года назад
2 года назад
2 года назад
2 года назад
7 лет назад
7 лет назад
9 лет назад
9 лет назад