• Предмет: Алгебра
  • Автор: dashakorotkova1
  • Вопрос задан 2 года назад

Помогите ОЧЕНЬ СРОЧНО !!!!!!

Приложения:

Ответы

Ответ дал: kolobok1431
1
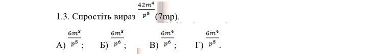
Б) 6m³ /p⁶ ответ под Б)
Вас заинтересует