• Предмет: Математика
  • Автор: Петя3567
  • Вопрос задан 2 года назад

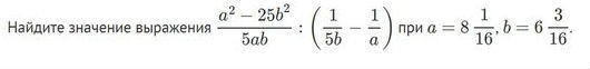
Найти значение выражение

Приложения:

Ответы

Ответ дал: dsfaw
17
((a^2-25*b^2)/5ab)/((a-5*b)/5ab)=((a-5b)*(a+5b)/5ab)*(5ab/(a-5b))=a+5b
a+5b=129/16+99*5/16=(129+495)/16=624/16=39
Вас заинтересует