Ответы
Ответ дал:
4
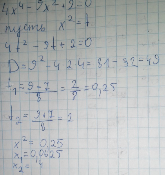
4x⁴ - 9x² +2=0
Пусть х² =у
4у² -9у+2=0
Д=81-4*4*2=81-32=49
у₁=9-7= 1/4
8
у₂=9+7=2
8
При у=1/4
х²=1/4
х=-1/2
х=1/2
При у=2
х²=2
х=-√2
х=√2
Ответ: -√2; -1/2; 1/2; √2.
Пусть х² =у
4у² -9у+2=0
Д=81-4*4*2=81-32=49
у₁=9-7= 1/4
8
у₂=9+7=2
8
При у=1/4
х²=1/4
х=-1/2
х=1/2
При у=2
х²=2
х=-√2
х=√2
Ответ: -√2; -1/2; 1/2; √2.
Ответ дал:
1
у меня неправильно.
получается
x²=t
x1=√0,5
x2=√2
получается
x²=t
x1=√0,5
x2=√2
Приложения:
Вас заинтересует
2 года назад
2 года назад
7 лет назад
7 лет назад