• Предмет: Алгебра
  • Автор: Аноним
  • Вопрос задан 11 лет назад

Найдите один из корней квадратного уравнения x^2-21x+54=0

Ответы

Ответ дал: staner
0

самое просто без заморочек по теореме Виета

x1+x2=21

x1*x2=54

x1=18,x2=3

Ответ дал: Аноним
0

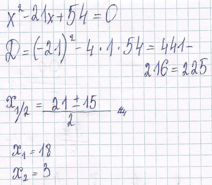
Решение на картинке :))))))))))))))))))))))))))))))

Приложения:
Вас заинтересует