• Предмет: Алгебра
  • Автор: МАрИйКа14
  • Вопрос задан 11 лет назад

Помогите пожалуйста решить.

 в 25,12 после =3

Приложения:

Ответы

Ответ дал: iBee
0

25.12.  

tg(a-π/4)=3

 

 (tga-tgπ/4)                  tga-1    

--------------- =   3       ----------=   3     

1+tgatgπ/4                  1+tga    

 

 3(1+tga)=tg-1    =>    3+3tga=tga-1    =>     2tga=-4  =>   tga=-2

25.14

tg(a-π/4) - ?

sina=12/13

cosa=-√1-(12/13)²=-√25/169=-5/13  (знак минус, т.к. 3 четверть)

tga=12/13 ÷ (-5/13) = -2,4

 

                      tga-tgπ/4          -2,4-1       -3,4      17

 tg(a-π/4)= ----------------  = ----------- = ------ =  ----

                    1+tgatgπ/4        1-2,4         -1,4       7

 

25.18

 √3-tgx

----------- = 1

1+√3tgx

 

  tgπ/3-tgx

-------------- = 1

1+tgπ/3tgx

 

tg(π/3-x) = 1

π/3-x = π/4 + πn, n∈Z

-x=-π/12 + πn, n∈Z

x=π/12-πn, n∈Z

Ответ: 13π/12, π/12, -11π/12

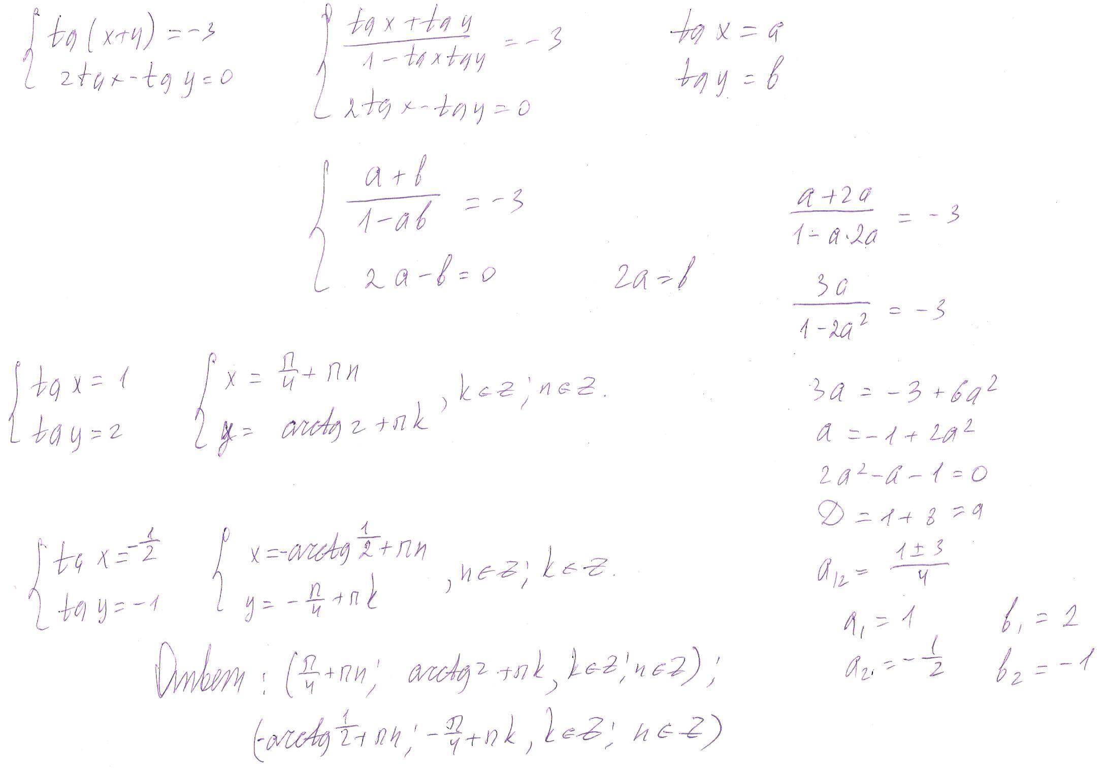
Ответ дал: Artem112
0

надеюсь будет понятно...

Приложения:
Вас заинтересует