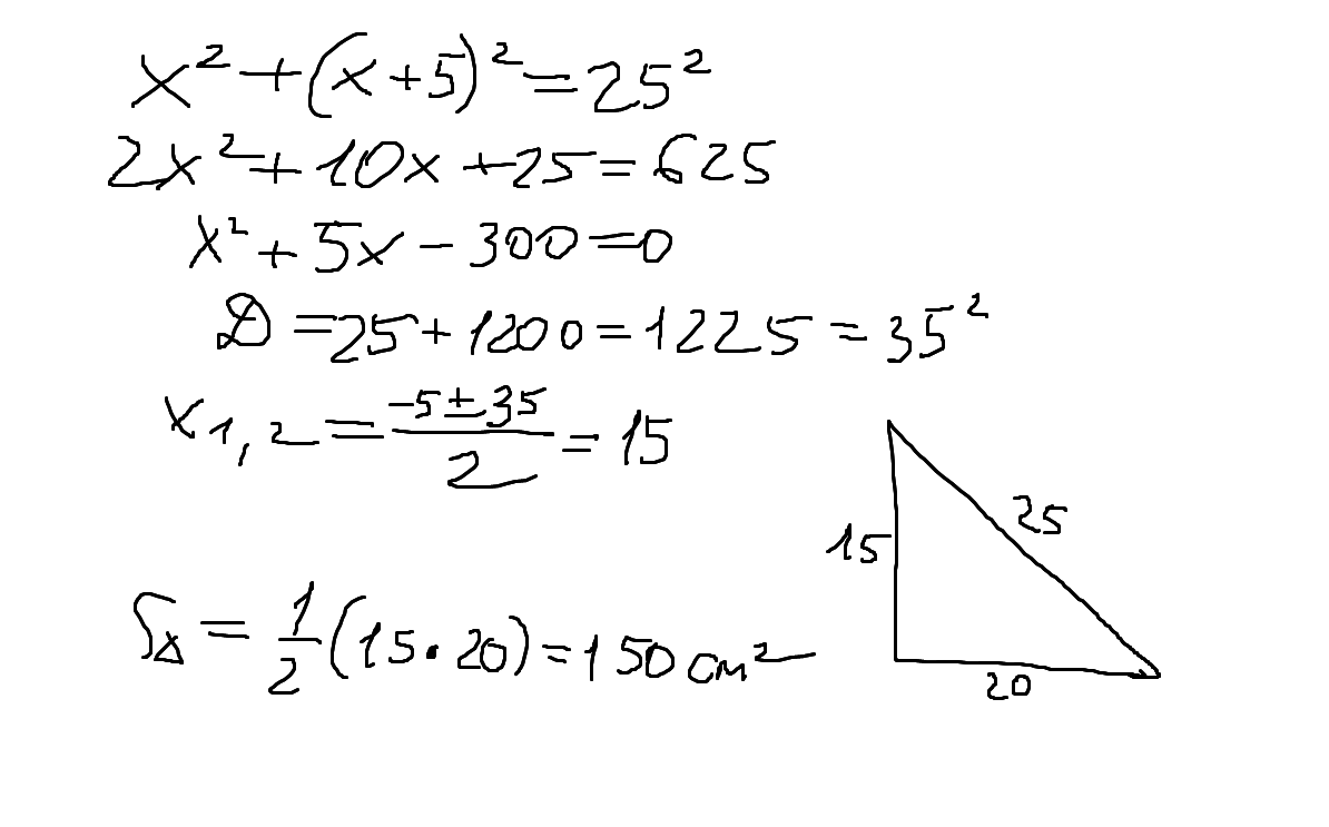
1. Найти площадь прямоугольного треугольника, если известно, что один из его катетов на 5 см больше другого, а гипотенуза равна 25 см.
Помогите.
Ответы
Ответ дал:
31
...................................................
Приложения:

Вас заинтересует
2 года назад
2 года назад
7 лет назад
8 лет назад