Решите, пожалуйста, дробно-рациональное уравнение. Пожалуйста, с решением.
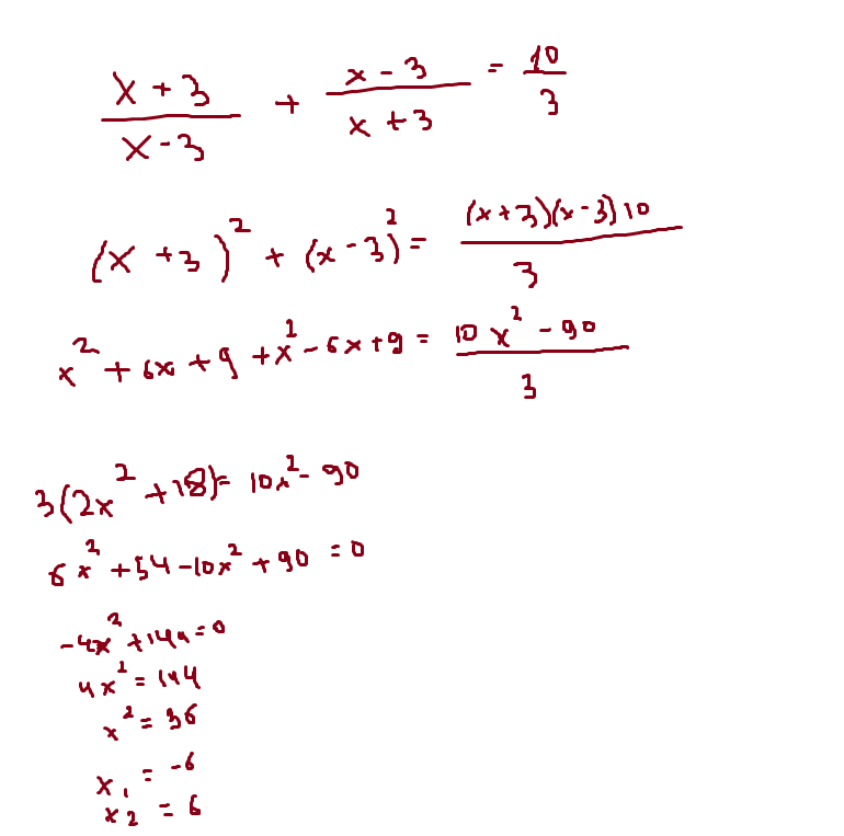
(x+3)/(x-3)+(x-3)/(x+3)=10/3
Ответы
Ответ дал:
4
...................................................
Приложения:

Ответ дал:
1
(x+3)²+(x-3)²=(10/3)*(x²-9)
2x²+18=(10/3)x²-30
(4/3)x²=48
x²=36
x₁=6 x₂=-6.
2x²+18=(10/3)x²-30
(4/3)x²=48
x²=36
x₁=6 x₂=-6.
Вас заинтересует
2 года назад
2 года назад
2 года назад
2 года назад
7 лет назад