• Предмет: Математика
  • Автор: Alehandro007
  • Вопрос задан 3 года назад

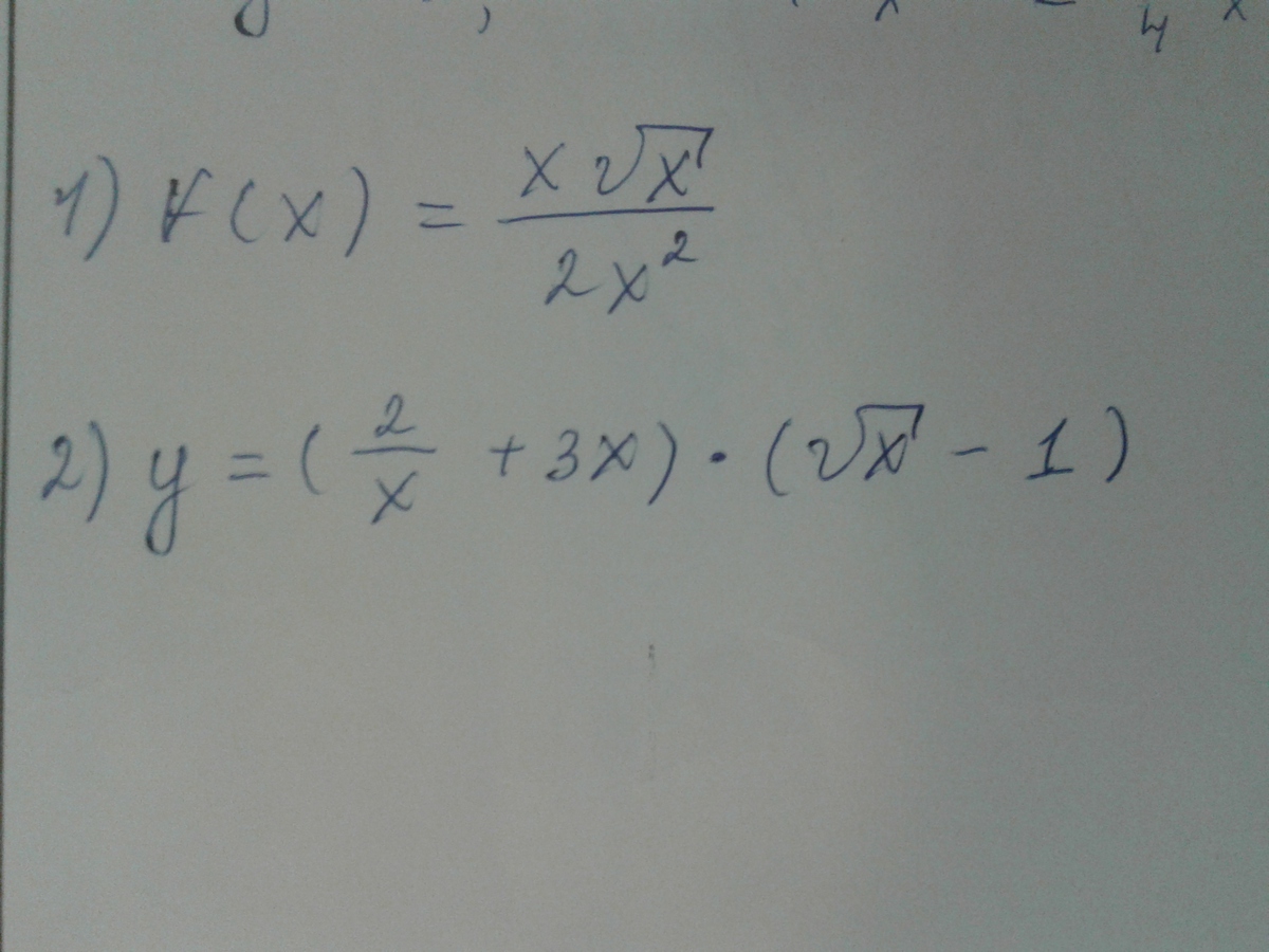
производная суммы, произведения, частного.

Приложения:

Ответы

Ответ дал: mukus13
0
y= \frac{x \sqrt{x} }{2 x^{2} } = \frac{ \sqrt{x} }{2x}
y ' =( \frac{ \sqrt{x} }{2x} ) ' = \frac{ \frac{1}{2 \sqrt{x} } *2x- \sqrt{x} *2}{4 x^{2} }=
= \frac{x-2x}{ \sqrt{x} } :4 x^{2} = \frac{-x}{ \sqrt{x} } * \frac{1}{4 x^{2} } = \frac{ -1}{4x \sqrt{x} }

Вас заинтересует