Срочно!
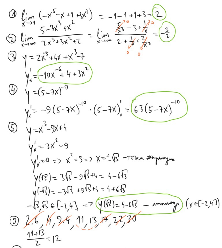
1. Вычислить предел функции: 
2. Вычислить предел функции:
3. Вычислить производную функции: 
4. Вычислить производную сложной функции:
5. Найти наименьшее значение функции
на промежутке [ -2;4]
9. Найдите медиану чисел: 11;13;30;9,4;2,6;22;17;4
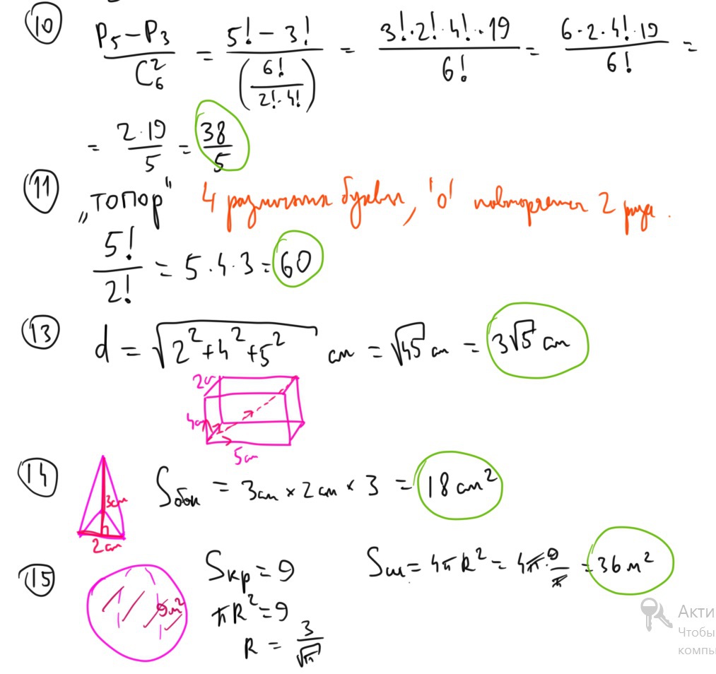
10. Вычислить: 
11. Сколько различных перестановок букв можно сделать в слове "топор"?
13. Найдите длину диагонали прямоугольного параллелепипеда, если его измерения равны 2 см, 4 см и 5 см.
14. Высота боковой грани правильной треугольной пирамиды равна 3 см., сторона основания равна 2 см. Вычислить боковую поверхность пирамиды.
15. Найдите поверхности шара, если площадь его большего круга равна 9 метров в квадрате.
Ответы
Ответ дал:
1
Решения на картинках.
Приложения:
Аноним:
Огромное спасибо :)
Вас заинтересует
2 года назад
2 года назад
2 года назад
7 лет назад
7 лет назад
9 лет назад