Ответы
Ответ дал:
0
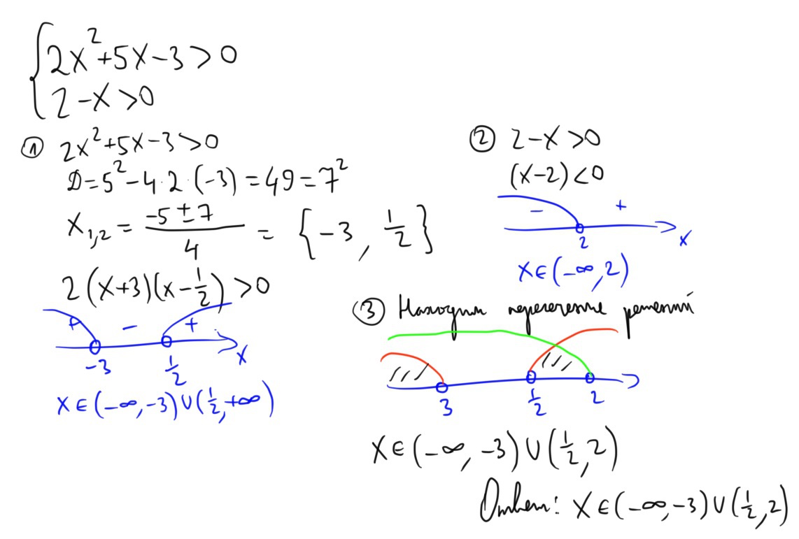
Решение на картинке.
Приложения:

Ответ дал:
0
Выражение 2x^2+5x-3 определяет параболическую функцию, график которой - парабола ветвями вверх.Положительные значения этой функции можно определить,приравняв её 0:
2х² + 5х - 3 = 0.
Квадратное уравнение, решаем относительно x:
Ищем дискриминант:D=5^2-4*2*(-3)=25-4*2*(-3)=25-8*(-3)=25-(-8*3)=25-(-24)=25+24=49;
Дискриминант больше 0, уравнение имеет 2 корня:
x₁=(√49-5)/(2*2)=(7-5)/(2*2)=2/(2*2)=2/4=0.5;
x₂=(-√49-5)/(2*2)=(-7-5)/(2*2)=-12/(2*2)=-12/4=-3.
То есть, положительные значения будут при х меньше -3 и х больше 0,5.
Из неравенства 2 - x >0 следует x < 2.
Совместное решение даёт ответ: 0,5 < x < 2
x < -3.
2х² + 5х - 3 = 0.
Квадратное уравнение, решаем относительно x:
Ищем дискриминант:D=5^2-4*2*(-3)=25-4*2*(-3)=25-8*(-3)=25-(-8*3)=25-(-24)=25+24=49;
Дискриминант больше 0, уравнение имеет 2 корня:
x₁=(√49-5)/(2*2)=(7-5)/(2*2)=2/(2*2)=2/4=0.5;
x₂=(-√49-5)/(2*2)=(-7-5)/(2*2)=-12/(2*2)=-12/4=-3.
То есть, положительные значения будут при х меньше -3 и х больше 0,5.
Из неравенства 2 - x >0 следует x < 2.
Совместное решение даёт ответ: 0,5 < x < 2
x < -3.
Вас заинтересует
2 года назад
2 года назад
2 года назад
2 года назад
7 лет назад
7 лет назад
9 лет назад