• Предмет: Математика
  • Автор: paniq
  • Вопрос задан 3 года назад

Помогите решить интегралы) Как можно подробнее распишите)

Приложения:

Ответы

Ответ дал: vendor
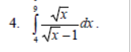
2
\displaystyle \int\limits_4^9\frac{\sqrt{x}}{\sqrt{x}-1}dx=\int\limits_4^9\frac{\sqrt{x}-1+1}{\sqrt{x}-1}dx=\int\limits_4^9\Bigg(\frac{\sqrt{x}-1}{\sqrt{x}-1}+\frac{1}{\sqrt{x}-1}\Bigg)dx=\int\limits_4^9\Bigg(1+\frac{1}{\sqrt{x}-1}\Bigg)dx=

\displaystyle =\int\limits_4^9 dx+\int\limits_4^9\frac{1}{\sqrt{x}-1}dx=x\bigg|_4^9+2\int\limits_4^9\frac{1}{\sqrt{x}-1}\frac{1}{2}dx=9-4+2\int\limits_4^9\frac{\sqrt{x}}{\sqrt{x}-1}\frac{1}{2\sqrt{x}}dx=

\displaystyle =5+2\int\limits_4^9\frac{\sqrt{x}}{\sqrt{x}-1}d(\sqrt{x})=5+2\int\limits_4^9\frac{\sqrt{x}-1+1}{\sqrt{x}-1}d(\sqrt{x})=5+2\int\limits_4^9\bigg(\frac{\sqrt{x}-1}{\sqrt{x}-1}+\frac{1}{\sqrt{x}-1}\bigg)d(\sqrt{x})=5+2\int\limits_4^9\bigg(1+\frac{1}{\sqrt{x}-1}\bigg)d(\sqrt{x})=

\displaystyle =5+2\int\limits_4^9 d(\sqrt{x})+2\int\limits_4^9 \frac{d(\sqrt{x})}{\sqrt{x}-1}=5+2\int\limits_4^9\frac{dx}{2\sqrt{x}}+2\int\limits_4^9 \frac{d(\sqrt{x}-1)}{\sqrt{x}-1}=5+\int\limits_4^9\frac{dx}{\sqrt{x}}+2\bigg(ln\big(\sqrt{x}-1\big)\bigg)\bigg|_4^9=5+\int\limits_4^9 x^{-1/2} dx+2ln(\sqrt{9}-1)-2ln(\sqrt{4}-1)=5+\bigg(\frac{x^{1/2}}{1/2}\bigg)\bigg|_4^9+2ln(2)-2ln(1)=5+(2\sqrt{x})\bigg|_4^9+ln(2^2)-0=5+2\sqrt{9}-2\sqrt{4}+ln(4)=5+2\cdot 3-2\cdot 2+ln(4)=5+6-4+ln(4)=7+ln(4).

\displaystyle \int(x^3-x+1)ln(x)dx=\int\big(x^3ln(x)-xln(x)+ln(x)\big)dx=\int x^3ln(x)dx - \int xln(x)dx + \int ln(x)dx=\dotsc

\displaystyle \int ln(x)dx=x\left(ln(x)-1\right)+C;

\displaystyle \int xln(x)dx=x\int ln(x)dx - \iint ln(x) dx dx=x^2\Big(ln(x)-1\Big)-\int x\Big(ln(x)-1\Big) dx=x^2\Big(ln(x)-1\Big)-\int \big( xln(x)-x \big) dx=x^2\Big(ln(x)-1\Big)-\int xln(x)dx + \int xdx=x^2\Big(ln(x)-1\Big)+\frac{x^2}{2}-\int xln(x)dx=x^2\left(ln(x)-1+\frac{1}{2}\right)-\int xln(x)dx=x^2\left(ln(x)-\frac{1}{2}\right)-\int xln(x)dx;
\displaystyle 2\int xln(x)dx=x^2\left(ln(x)-\frac{1}{2}\right)+C;
\displaystyle \int xln(x)dx=\frac{x^2}{2}\Big(ln(x)-\frac{1}{2}\Big)+C;

\displaystyle \int x^3 ln(x)dx=x^3\int ln(x)dx-\iint ln(x)dxd(x^3)=x^4\Big(ln(x)-1)\Big)-\int x\Big(ln(x)-1)\Big)3x^2dx=x^4\Big(ln(x)-1)\Big) - \int\Big(3x^3ln(x)-3x^3\Big)dx=x^4\Big(ln(x)-1)\Big) - \int 3x^3ln(x)dx+\int 3x^3dx=x^4\Big(ln(x)-1)\Big)+3\int x^3dx-3\int x^3ln(x)dx=x^4\Big(ln(x)-1)\Big)+3\frac{x^4}{4}-3\int x^3ln(x)dx=x^4\Big(ln(x)-1+\frac{3}{4})\Big)-3\int x^3ln(x)dx=x^4\Big(ln(x)-\frac{1}{4})\Big)-3\int x^3ln(x)dx;
\displaystyle 4\int x^3ln(x)dx=x^4\Big(ln(x)-\frac{1}{4})\Big)+C;
\displaystyle \int x^3ln(x)dx=\frac{x^4}{4}\Big(ln(x)-\frac{1}{4})\Big)+C;

\displaystyle 
\dotsc=\int 
x^3ln(x)dx - \int xln(x)dx + \int ln(x)dx=\frac{x^4}{4}\Big(ln(x)-\frac{1}{4})\Big) - \frac{x^2}{2}\Big(ln(x)-\frac{1}{2}\Big) + x\Big(ln(x)-1\Big)+C.





Вас заинтересует