Ответы
Ответ дал:
1
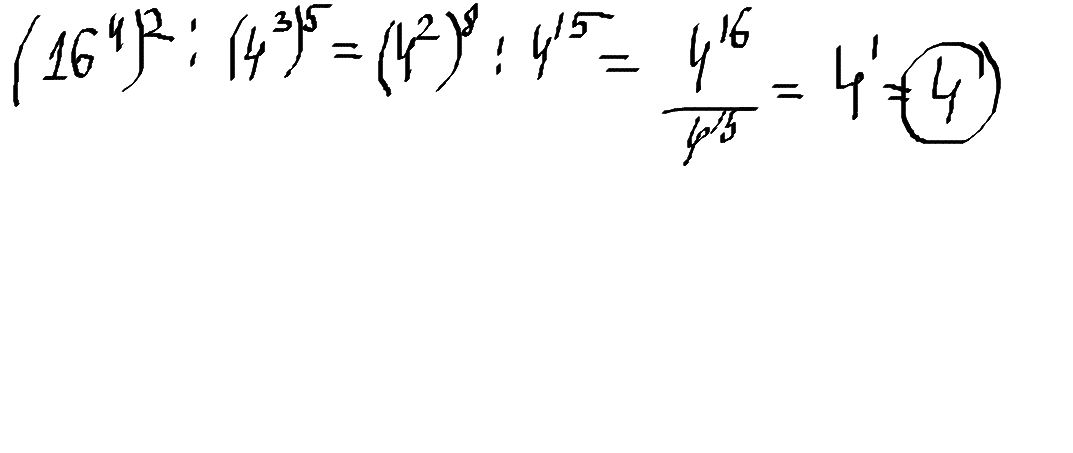
решение во вложении на фото :)
Приложения:

Ответ дал:
1
Вас заинтересует
2 года назад
2 года назад
2 года назад
2 года назад
7 лет назад