Ответы
Ответ дал:
1
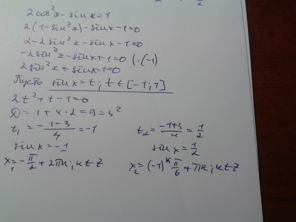
2cos²x-sin x=1
2cos²x-sinx-1=0
2(1-sin²x)-sinx-1=0
-2sin²x-sinx+1=0
2sin²x+sinx-1=0
sinx=y
2y²+y-1=0
y₁=½,y₂=-1
1) sinx=½;x=(-1)ᵏ•(π/6)+πk,k∈Z
2) sinx=-1;x=-π/2+2πn,n∈Z.
2cos²x-sinx-1=0
2(1-sin²x)-sinx-1=0
-2sin²x-sinx+1=0
2sin²x+sinx-1=0
sinx=y
2y²+y-1=0
y₁=½,y₂=-1
1) sinx=½;x=(-1)ᵏ•(π/6)+πk,k∈Z
2) sinx=-1;x=-π/2+2πn,n∈Z.
dimka172:
спасибо=)
Ответ дал:
1
Решаем через замену переменных....................
Приложения:
спасибо большое)
Вас заинтересует
2 года назад
2 года назад
2 года назад
2 года назад
7 лет назад
7 лет назад
9 лет назад