• Предмет: Алгебра
  • Автор: artsss
  • Вопрос задан 2 года назад

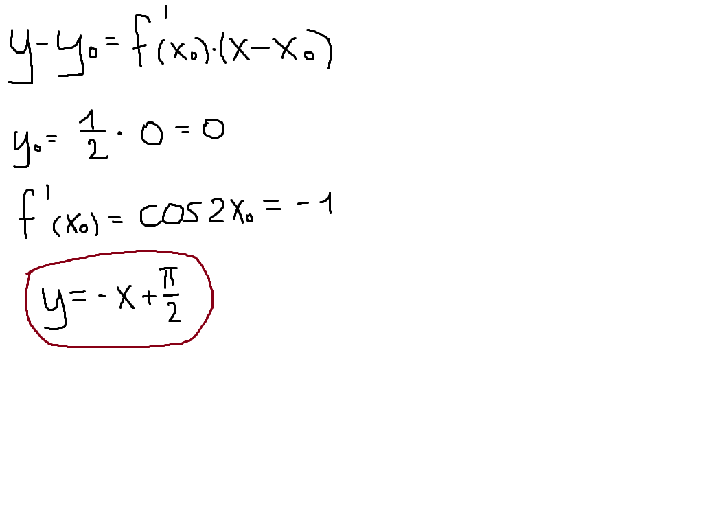
Построить касательную к графику функции y=0.5sin(2x) в точке x0=pi/2

Ответы

Ответ дал: kostet1998
0
.=====================================.
Приложения:
Вас заинтересует