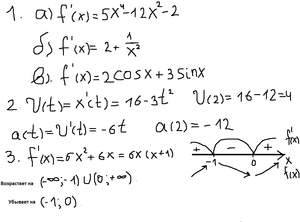
1.Найти производную функции:
A.) f(x)= x⁵- 4x³ - 2x+5
Б.) f(x)= 2x-1/x+1
В) f(x)= 2 sinx- 3cosx
2. Материальна точка движется прямолинейно по закону x(t)= 16t-t³ Найдите скорость и ускорение точки в момент времени t=2
3.Найти промежутки убывания и возрастания функции f(x)=2x³+3x²-2
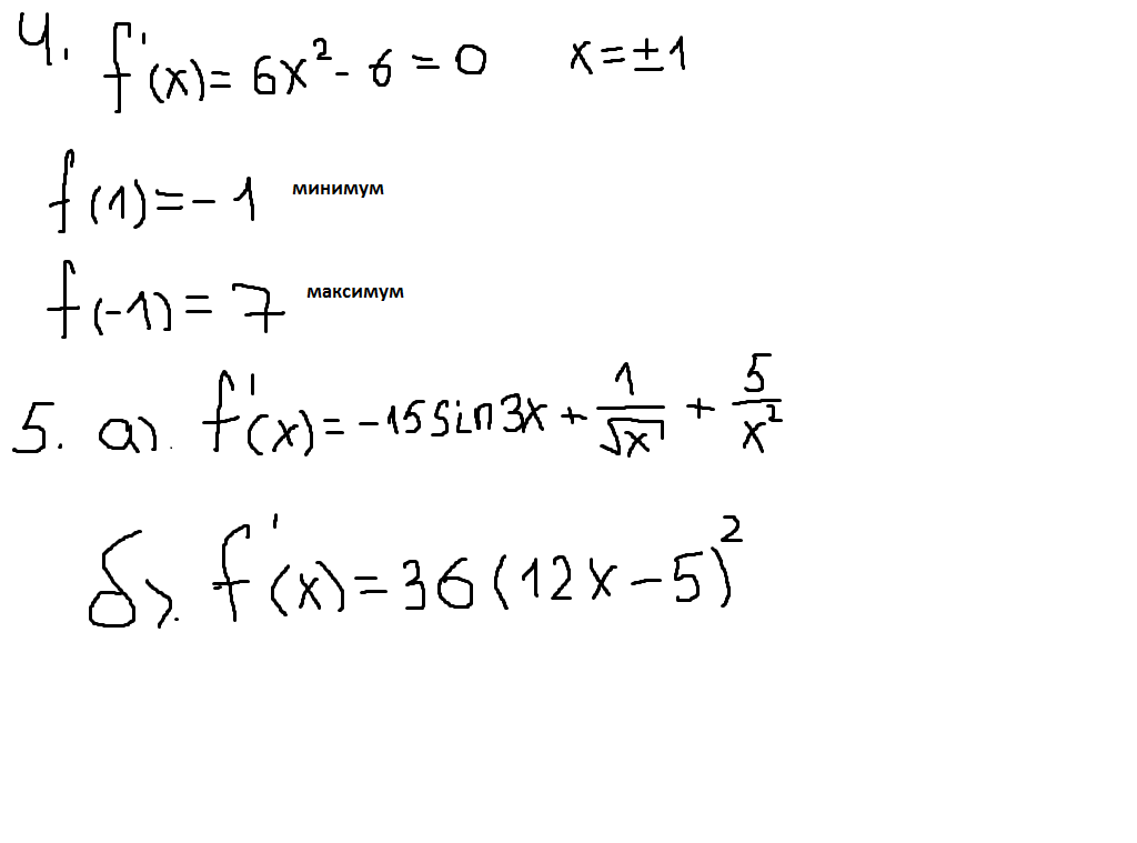
4 Найти точки максимума и минимума функции f(x)=2x³-6x+3
5. Найти производную функции
а)f(x)= -5cos(3x+п)+2√x-5/x
б)f(x)=(12x-5)³
Ответы
Ответ дал:
3
......................................................
Приложения:


peppepel:
Спасибо, очень выручил:3
Вас заинтересует
2 года назад
2 года назад
2 года назад
7 лет назад
7 лет назад
9 лет назад