• Предмет: Физика
  • Автор: LiliyaMak
  • Вопрос задан 3 года назад

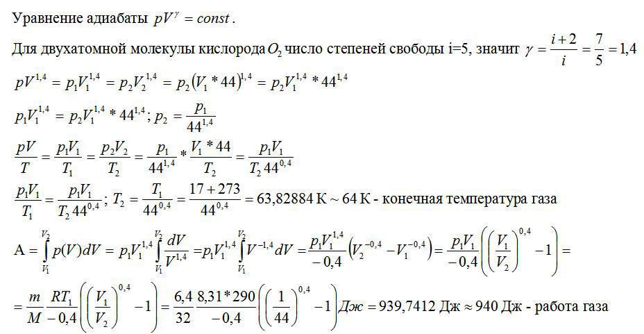
При адиабатическом расширении 6,4 г кислорода, имеющего температуру 17°С, объем газа увеличился в 44 раза. определить конечную температуру газа и работу расширения газа.

Ответы

Ответ дал: IUV
1
ответ смотри во вложении
Приложения:
Вас заинтересует