Ответы
Ответ дал:
1
x≠3 U x≠-3
28x+84+28x-84=7x²-63
7x²-56x-63=0
x²-8x-9=0
x1+x2=8 U x1*x2=-9
x1=-1 U x2=9
28x+84+28x-84=7x²-63
7x²-56x-63=0
x²-8x-9=0
x1+x2=8 U x1*x2=-9
x1=-1 U x2=9
Ответ дал:
1
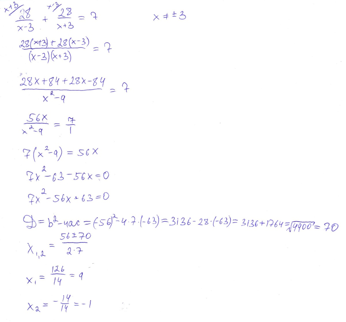
Решение на фото.....
Приложения:

Вас заинтересует
2 года назад
2 года назад
2 года назад
7 лет назад
7 лет назад
9 лет назад