Ответы
Ответ дал:
0
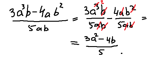
СМ.ВЛОЖ
=============================
Приложения:

Вас заинтересует
2 года назад
8 лет назад
10 лет назад
10 лет назад
10 лет назад