• Предмет: Математика
  • Автор: nastya1122334455
  • Вопрос задан 3 года назад

Решите систему уравнений:(срочно нужно и правильно).
Заранее спасибо
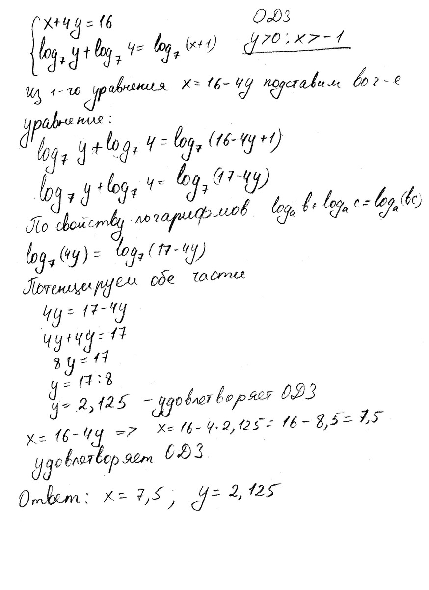
 \left \{ {{x+4y=16} \atop {log _{7 }    y+log _{7} 4=log _{7} (x+1) } \right.

Ответы

Ответ дал: bearcab
1
Решение во вложении. Должно быть понятно.
Приложения:
Вас заинтересует