• Предмет: Алгебра
  • Автор: erg
  • Вопрос задан 3 года назад

50 баллов! Помогите пожалуйста с решением! В долгу не останусь!
найти наибольшее знач-е ф-ции y=11+24x-2x корень из x на отрезке (63; 65)

Ответы

Ответ дал: Mydrый
2
решение во вложениииииииииииииииииииииииииииииии
Приложения:

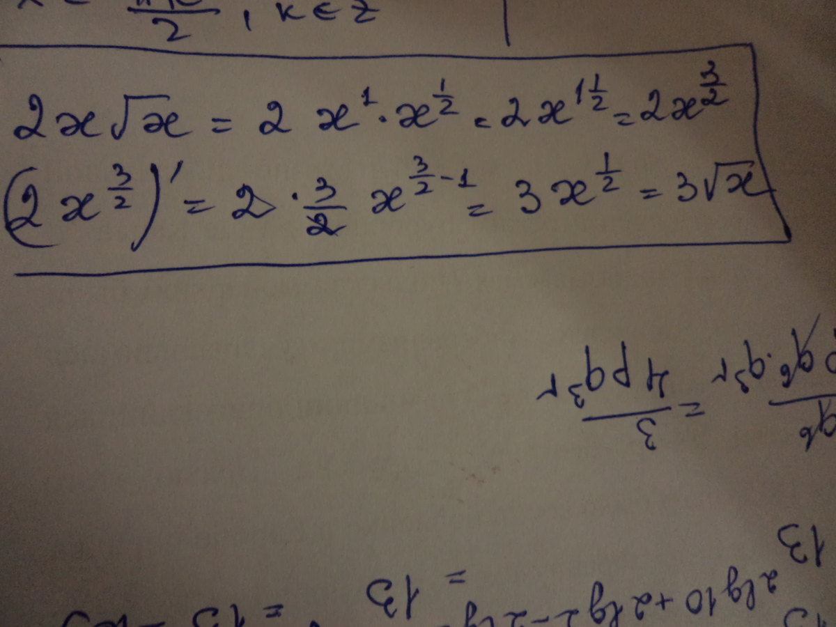
erg: Большое спасибо! Объясни пожалуйста, если можешь, как берется производная от 2x корень х?)
Mydrый: добавила листочек с подробным решением)
erg: ты меня спасаешь))) большущее спасибо и лучи добра тебе!
Вас заинтересует